SUBSCRIPT IN LATEX

FILE_ID: SUBSCRIP

In the world of typesetting and document creation, subscript in LaTeX is a powerful tool that allows you to create subscripts with ease. Subscripts are an essential part of mathematical notation, chemical formulas, and various other fields where small letters or symbols are placed below the main text. LaTeX, a popular document preparation system, provides a simple and efficient way to create these subscripts, ensuring a professional and consistent appearance in your documents.

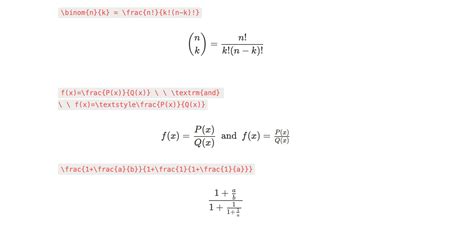
LaTeX offers a straightforward method to create subscripts using the subscript command. This command allows you to place a small letter or symbol below the main text, creating a visually appealing and mathematically correct representation. For example, the expression "H2O" will render as "H2O," with the number 2 appearing as a subscript.

One of the key benefits of using LaTeX for subscripts is the ability to maintain a clean and organized layout. The subscript command ensures that the small letters or symbols are positioned accurately and are easily readable, even in complex mathematical equations or chemical formulas. This consistency and precision are particularly important in technical documentation and scientific writing.

Visual Evidence (45)
LaTeX Tutorial 04 Subscripts and Superscripts - YouTube
LaTeX Tutorial 04 Subscripts and Superscripts - YouTube
A mathematical equation with the term 'subscript' ...
Simple Tips About How To Write Subscript In Latex - Commonlab23
Simple Tips About How To Write Subscript In Latex - Commonlab23
Close-up of a hand writing the word 'subscript' in...
Subscript in LaTeX text mode - CodeSpeedy
Subscript in LaTeX text mode - CodeSpeedy
Subscript text, 'H2O', is displayed in a stylized,...
How to write subscript(x₂) in LaTeX?
How to write subscript(x₂) in LaTeX?
A vintage-style chalkboard with the word 'Subscrip...
Latex tutorial text formatting bold itlaic subscript superscript.avi ...
Latex tutorial text formatting bold itlaic subscript superscript.avi ...
A colorful, abstract representation of subscript, ...
Introduction to Latex symbols and commands | PPTX
Introduction to Latex symbols and commands | PPTX
A scientific formula with the term 'subscript' hig...
Simple Tips About How To Write Subscript In Latex - Commonlab23
Simple Tips About How To Write Subscript In Latex - Commonlab23
A close-up of a typewriter's keyboard, with the ke...
Subscripts and Superscripts in LATEX | Base and Power in Latex - YouTube
Subscripts and Superscripts in LATEX | Base and Power in Latex - YouTube
A mathematical equation on a blackboard, with the ...
How to write Subscript & Superscript in Latex Overleaf - YouTube
How to write Subscript & Superscript in Latex Overleaf - YouTube
A digital display showing the word 'subscript' in ...
Simple Tips About How To Write Subscript In Latex - Commonlab23
Simple Tips About How To Write Subscript In Latex - Commonlab23
A hand-drawn illustration of a subscript symbol, w...
How to write subscript(x₂) in LaTeX?
How to write subscript(x₂) in LaTeX?
A scientific experiment setup, with a beaker conta...
Introduction to LaTeX By Dan Burke. - ppt download
Introduction to LaTeX By Dan Burke. - ppt download
A vintage-style poster with the word 'Subscript' i...
math mode - How to typeset the subscript of a matrix? - TeX - LaTeX ...
math mode - How to typeset the subscript of a matrix? - TeX - LaTeX ...
A mathematical equation on a chalkboard, with the ...
Smartest way to type equation in equation editor in Word (similar to ...
Smartest way to type equation in equation editor in Word (similar to ...
A close-up of a computer keyboard, with the 'subsc...
ROOT: TLatex Class Reference
ROOT: TLatex Class Reference
A scientific formula on a white background, with t...
typography - Proper way to include text in formulas - TeX - LaTeX Stack ...
typography - Proper way to include text in formulas - TeX - LaTeX Stack ...
A hand-drawn, minimalist icon of a subscript symbo...
Left and right subscript / superscript - TeX - LaTeX Stack Exchange
Left and right subscript / superscript - TeX - LaTeX Stack Exchange
A mathematical equation on a blackboard, with the ...
How to typeset subscript in usual text mode? - TeX - LaTeX Stack Exchange
How to typeset subscript in usual text mode? - TeX - LaTeX Stack Exchange
A digital display showing a scientific formula wit...
amsmath - a more elegant subscript - TeX - LaTeX Stack Exchange
amsmath - a more elegant subscript - TeX - LaTeX Stack Exchange
A close-up of a typewriter's keyboard, with the 's...
Subscript and Superscript in LaTeX - LaTeX-Tutorial.com
Subscript and Superscript in LaTeX - LaTeX-Tutorial.com
A scientific experiment setup, with a beaker label...
How to typeset subscript in usual text mode? - TeX - LaTeX Stack Exchange
How to typeset subscript in usual text mode? - TeX - LaTeX Stack Exchange
A vintage-style poster with the word 'Subscript' i...
Simple Tips About How To Write Subscript In Latex - Commonlab23
Simple Tips About How To Write Subscript In Latex - Commonlab23
A mathematical equation on a chalkboard, with the ...
Simple Tips About How To Write Subscript In Latex - Commonlab23
Simple Tips About How To Write Subscript In Latex - Commonlab23
A digital display showing a scientific formula wit...
Simple Tips About How To Write Subscript In Latex - Commonlab23
Simple Tips About How To Write Subscript In Latex - Commonlab23
A close-up of a computer keyboard, with the 'subsc...
Simple Tips About How To Write Subscript In Latex - Commonlab23
Simple Tips About How To Write Subscript In Latex - Commonlab23
A scientific formula on a white background, with t...
LaTeX Subscripts and Superscripts: Complete Guide | Underleaf
LaTeX Subscripts and Superscripts: Complete Guide | Underleaf
A hand-drawn, minimalist icon of a subscript symbo...
How to write subscript(x₂) in LaTeX?
How to write subscript(x₂) in LaTeX?
A mathematical equation on a blackboard, with the ...
kerning - How to format multi-letter subscripts in math mode? - TeX ...
kerning - How to format multi-letter subscripts in math mode? - TeX ...
A detailed look at subscript in latex ....
What is the latex code for writing a condition under the subscript of a ...
What is the latex code for writing a condition under the subscript of a ...
A detailed look at subscript in latex ....
Simple Tips About How To Write Subscript In Latex - Commonlab23
Simple Tips About How To Write Subscript In Latex - Commonlab23
A detailed look at subscript in latex ....
2. Subscript and subscript in LaTeX
2. Subscript and subscript in LaTeX
A detailed look at subscript in latex ....
Simple Tips About How To Write Subscript In Latex - Commonlab23
Simple Tips About How To Write Subscript In Latex - Commonlab23
A detailed look at subscript in latex ....
How to Use LaTeX-style Notations in Matplotlib? - Scaler Topics
How to Use LaTeX-style Notations in Matplotlib? - Scaler Topics
A detailed look at subscript in latex ....
Latex Tutorial 1.03: Writing Exponents and Subscripts in Latex [with ...
Latex Tutorial 1.03: Writing Exponents and Subscripts in Latex [with ...
A detailed look at subscript in latex ....
LaTeX - Basic Code
LaTeX - Basic Code
A detailed look at subscript in latex ....
Why LaTeX-typeset documents look professional - Brushing Up Science
Why LaTeX-typeset documents look professional - Brushing Up Science
A detailed look at subscript in latex ....
Standard for typesetting texts in subscripts - TeX - LaTeX Stack Exchange
Standard for typesetting texts in subscripts - TeX - LaTeX Stack Exchange
A detailed look at subscript in latex ....
Superscripts and Subscripts in LaTeX | Complete Guide | Underleaf
Superscripts and Subscripts in LaTeX | Complete Guide | Underleaf
A detailed look at subscript in latex ....
latex tutorial 1 exponents and subscripts - YouTube
latex tutorial 1 exponents and subscripts - YouTube
A detailed look at subscript in latex ....
How to write rho, uprho, varrho, and big rho symbol in LaTeX?
How to write rho, uprho, varrho, and big rho symbol in LaTeX?
A detailed look at subscript in latex ....
How to make proportional subscript when using smaller font in math mode ...
How to make proportional subscript when using smaller font in math mode ...
A detailed look at subscript in latex ....
formatting - I'm using subscripts, how do I to format \cdot and [var ...
formatting - I'm using subscripts, how do I to format \cdot and [var ...
A detailed look at subscript in latex ....
How to use superscript(power) in LaTeX?
How to use superscript(power) in LaTeX?
A detailed look at subscript in latex ....
kerning - How to format multi-letter subscripts in math mode? - TeX ...
kerning - How to format multi-letter subscripts in math mode? - TeX ...
A detailed look at subscript in latex ....
math mode - How to write a variable with a subscript - TeX - LaTeX ...
math mode - How to write a variable with a subscript - TeX - LaTeX ...
A detailed look at subscript in latex ....