HOW TO FIND LCL AND UCL IN EXCEL

FILE_ID: HOW-TO-F

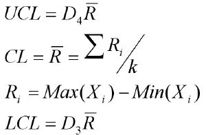
In statistics, understanding the range of data is crucial for making informed decisions. One way to do this is by calculating the Lower Control Limit (LCL) and Upper Control Limit (UCL), which are essential in control charts. These limits help identify whether a process is under control or if there are potential issues. This guide will show you how to find these limits in Microsoft Excel, a powerful tool for data analysis.

The LCL and UCL are calculated based on sample data and control chart parameters, such as the mean, standard deviation, and sample size. Excel provides various functions and tools to simplify these calculations, making it easier for users to analyze their data.

By the end of this tutorial, you'll be able to determine these critical limits, which can assist in process improvement and quality control. Let's explore the steps involved in finding the LCL and UCL in Excel.

The key benefit of understanding how to find LCL and UCL in Excel is the ability to quickly identify process variations and potential outliers, leading to more informed decision-making.

Visual Evidence (45)
How to Calculate Upper Control Limit with Formula in Excel
How to Calculate Upper Control Limit with Formula in Excel
A spreadsheet with a chart showing the upper contr...
Unit 10 UCL, LCL - YouTube
Unit 10 UCL, LCL - YouTube
A close-up of an Excel spreadsheet displaying a co...
Excel Tutorial: How To Calculate Ucl And Lcl In Excel - DashboardsEXCEL.com
Excel Tutorial: How To Calculate Ucl And Lcl In Excel - DashboardsEXCEL.com
A step-by-step guide in Excel, showing how to calc...
Excel Tutorial: How To Calculate Ucl And Lcl In Control Charts In Exce ...
Excel Tutorial: How To Calculate Ucl And Lcl In Control Charts In Exce ...
A bar chart in Excel, comparing the actual data wi...
How to add UCL and LCL in excel chart - YouTube
How to add UCL and LCL in excel chart - YouTube
A scatter plot in Excel, with a trendline and LCL ...
Control Chart Limits | UCL LCL | How to Calculate Control Limits
Control Chart Limits | UCL LCL | How to Calculate Control Limits
A table in Excel, listing the process data and the...
Excel Tutorial: How To Add Ucl And Lcl In Excel Chart - DashboardsEXCEL.com
Excel Tutorial: How To Add Ucl And Lcl In Excel Chart - DashboardsEXCEL.com
A chart in Excel, showing a process's performance ...
Control Chart Excel Template |How to Plot CC in Excel Format
Control Chart Excel Template |How to Plot CC in Excel Format
A spreadsheet with a control chart, highlighting t...
How to Calculate Upper Control Limit with Formula in Excel
How to Calculate Upper Control Limit with Formula in Excel
A graph in Excel, displaying the process data with...
How to Calculate LCL & UCL for U Chart using MS Excel | Control Chart ...
How to Calculate LCL & UCL for U Chart using MS Excel | Control Chart ...
A step-by-step tutorial in Excel, teaching how to ...
Standard Deviation Calculator Upper And Lower Limits at Harrison Grove blog
Standard Deviation Calculator Upper And Lower Limits at Harrison Grove blog
A chart in Excel, showing the process data with LC...
Amazing Ucl Lcl Excel Template Task Management Google Sheets
Amazing Ucl Lcl Excel Template Task Management Google Sheets
A spreadsheet with a control chart, focusing on th...
How to Draw UCL in Excel : Microsoft Office Lessons - YouTube
How to Draw UCL in Excel : Microsoft Office Lessons - YouTube
A table in Excel, comparing the actual data with t...
Control Chart Limits | UCL LCL | How to Calculate Control Limits
Control Chart Limits | UCL LCL | How to Calculate Control Limits
A scatter plot in Excel, with LCL and UCL lines. T...
Control Chart Limits | UCL LCL | How to Calculate Control Limits
Control Chart Limits | UCL LCL | How to Calculate Control Limits
A step-by-step guide in Excel, explaining how to c...
What Does Lower Control Limit Mean at Harry Leslie blog
What Does Lower Control Limit Mean at Harry Leslie blog
A chart in Excel, showing the process data with LC...
PPT - Control Charts for Variables PowerPoint Presentation, free ...
PPT - Control Charts for Variables PowerPoint Presentation, free ...
A spreadsheet with a control chart, highlighting t...
Image
Image
A graph in Excel, displaying the process data with...
How to find mean or average ,S.D,CL,LCL,UCL and control chart in EXCEL ...
How to find mean or average ,S.D,CL,LCL,UCL and control chart in EXCEL ...
A table in Excel, listing the process data and the...
Controlling the Heater - ppt download
Controlling the Heater - ppt download
A step-by-step tutorial in Excel, teaching how to ...
How to calculate Control Limits (LCL & UCL) of U chart |excel & Minitab ...
How to calculate Control Limits (LCL & UCL) of U chart |excel & Minitab ...
A chart in Excel, showing the process data with LC...
Control Chart Limits | UCL LCL | How to Calculate Control Limits
Control Chart Limits | UCL LCL | How to Calculate Control Limits
A spreadsheet with a control chart, focusing on th...
p-Chart in Excel | Control Chart | LCL & UCL - YouTube
p-Chart in Excel | Control Chart | LCL & UCL - YouTube
A graph in Excel, displaying the process data with...
Control Charts: UCL and LCL Control Limits in Control Charts
Control Charts: UCL and LCL Control Limits in Control Charts
A step-by-step guide in Excel, explaining the conc...
How to Create a Control Chart in Excel | Clickup
How to Create a Control Chart in Excel | Clickup
A chart in Excel, showing the process data with LC...
Chapter 6 — Statistical Process Control Operations Management
Chapter 6 — Statistical Process Control Operations Management
A spreadsheet with a control chart, highlighting t...
PPT - C-Chart Control Limit Calculations: Monitoring Defects Per Unit ...
PPT - C-Chart Control Limit Calculations: Monitoring Defects Per Unit ...
A table in Excel, comparing the actual data with t...
Image
Image
A step-by-step tutorial in Excel, teaching how to ...
Control Limits | How to Calculate Control Limits | UCL LCL | Fixed Limits
Control Limits | How to Calculate Control Limits | UCL LCL | Fixed Limits
A chart in Excel, showing the process data with LC...
Control Charts: UCL and LCL Control Limits in Control Charts
Control Charts: UCL and LCL Control Limits in Control Charts
A spreadsheet with a control chart, focusing on th...
A Guide to Control Charts
A Guide to Control Charts
A graph in Excel, displaying the process data with...
How to Find UCL and LCL in Excel
How to Find UCL and LCL in Excel
A detailed look at how to find lcl and ucl in exce...
SPC - Calculating Upper/Lower Control Limits - YouTube
SPC - Calculating Upper/Lower Control Limits - YouTube
A detailed look at how to find lcl and ucl in exce...
SPC Calculations
SPC Calculations
A detailed look at how to find lcl and ucl in exce...
Continuous Probability Distributions - ppt download
Continuous Probability Distributions - ppt download
A detailed look at how to find lcl and ucl in exce...
Difference between Control Limits and Specification Limits
Difference between Control Limits and Specification Limits
A detailed look at how to find lcl and ucl in exce...
Calculations in Excel | Learn How to Use Excel to Calculate?
Calculations in Excel | Learn How to Use Excel to Calculate?
A detailed look at how to find lcl and ucl in exce...
How to Find UCL and LCL in Excel
How to Find UCL and LCL in Excel
A detailed look at how to find lcl and ucl in exce...
Answered: Calculate the UCL & LCL for the… | bartleby
Answered: Calculate the UCL & LCL for the… | bartleby
A detailed look at how to find lcl and ucl in exce...
How to Find UCL and LCL in Excel
How to Find UCL and LCL in Excel
A detailed look at how to find lcl and ucl in exce...
Control charts
Control charts
A detailed look at how to find lcl and ucl in exce...
PPT - SEDS-Lite: Using Open Source Tools (R, BIRT and MySQL) to Report ...
PPT - SEDS-Lite: Using Open Source Tools (R, BIRT and MySQL) to Report ...
A detailed look at how to find lcl and ucl in exce...
Image
Image
A detailed look at how to find lcl and ucl in exce...
(Solved) - Calculate The Center Line (CL), Upper Control Limit (UCL ...
(Solved) - Calculate The Center Line (CL), Upper Control Limit (UCL ...
A detailed look at how to find lcl and ucl in exce...
What Is Control Chart
What Is Control Chart
A detailed look at how to find lcl and ucl in exce...