DIFFERENTIATE SIN INVERSE

FILE_ID: DIFFEREN

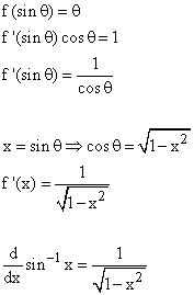
The differentiate sin inverse function is a fundamental concept in calculus, which involves finding the derivative of the inverse sine function. This process is crucial in various mathematical and scientific applications, as it allows us to determine the rate of change of the inverse sine function with respect to its input variable. Understanding how to differentiate this function is essential for solving complex problems in fields such as physics, engineering, and economics.

The inverse sine function, denoted as sin−1 or arcsin, is the inverse of the sine function. It returns the angle whose sine is a given number. For example, if we have sin−1(0.5), it represents the angle whose sine is 0.5. The derivative of this function is particularly important because it helps us find the slope of the curve at any point, which is essential for understanding the behavior of the function.

The key benefit of being able to differentiate sin inverse is that it enables us to model and analyze real-world phenomena accurately. For instance, in physics, the inverse sine function is used to describe the phase of alternating current in electrical circuits. By differentiating this function, we can determine how the phase changes over time, which is crucial for designing and optimizing such systems. This ability to model and analyze complex systems is a powerful tool with numerous practical applications.

Visual Evidence (45)
Question Video: The Derivative of an Inverse Sine Function | Nagwa
Question Video: The Derivative of an Inverse Sine Function | Nagwa
A vibrant, hand-drawn illustration of a person sta...
What is the Differentiation of sin inverse x (sin^-1 x)? - Teachoo
What is the Differentiation of sin inverse x (sin^-1 x)? - Teachoo
A close-up of a woman's hand, wearing a sleek, sil...
Image
Image
A dark, minimalist background with a single, brigh...
Question Video: The Derivative of an Inverse Sine Function | Nagwa
Question Video: The Derivative of an Inverse Sine Function | Nagwa
A group of students, all wearing colorful, futuris...
Derivative of Sin Inverse x | GeeksforGeeks
Derivative of Sin Inverse x | GeeksforGeeks
An abstract, digital art piece featuring a wave-li...
Differentiating inverse sin(x/a) : ExamSolutions Maths Revision - YouTube
Differentiating inverse sin(x/a) : ExamSolutions Maths Revision - YouTube
A vintage-style, wooden desk with a typewriter pla...
Derivatives - Calculus, Meaning, Interpretation
Derivatives - Calculus, Meaning, Interpretation
A futuristic cityscape at night, with glowing, flo...
Image
Image
A simple, line art drawing of a sine wave, with a ...
Differentiation of Trigonometric Functions - GeeksforGeeks
Differentiation of Trigonometric Functions - GeeksforGeeks
A close-up of a hand holding a small, antique slid...
Differentiation Formulas & Rules - Basic,Trig - Full list - Teachoo
Differentiation Formulas & Rules - Basic,Trig - Full list - Teachoo
A vibrant, colorful explosion of shapes and lines,...
Image
Image
A serene, natural landscape with a calm lake at da...
Derivatives of Inverse Trigonometric Functions - ppt download
Derivatives of Inverse Trigonometric Functions - ppt download
A group of diverse, young people, all wearing crea...
GraphicMaths - Differentiation - derivative of an inverse function
GraphicMaths - Differentiation - derivative of an inverse function
A futuristic, cyberpunk city at night, with neon l...
What is the Differentiation of sin inverse x (sin^-1 x)? - Teachoo
What is the Differentiation of sin inverse x (sin^-1 x)? - Teachoo
A simple, black and white photograph of a person's...
Image
Image
A detailed, hand-painted map of the world, with a ...
Derivatives of Inverse Trigonometric Functions - Top Study Guide ...
Derivatives of Inverse Trigonometric Functions - Top Study Guide ...
A close-up of a hand writing the inverse sine form...
Image
Image
A futuristic, digital clock, displaying the time i...
SOLUTION: Differentiation of inverse trigonometric functions - Studypool
SOLUTION: Differentiation of inverse trigonometric functions - Studypool
A serene, minimalist meditation space with a large...
Derivative of Inverse sin x by first principle method - YouTube
Derivative of Inverse sin x by first principle method - YouTube
A group of students, all wearing VR headsets, stan...
Calculus - Inverse Trig Derivatives (video lessons, examples and solutions)
Calculus - Inverse Trig Derivatives (video lessons, examples and solutions)
A vintage, wooden desk with a typewriter, a stack ...
Differentiation Techniques - Derivatives of Inverse Trigonometric ...
Differentiation Techniques - Derivatives of Inverse Trigonometric ...
A futuristic, holographic calculator, floating in ...
What is the Differentiation of sin inverse x (sin^-1 x)? - Teachoo
What is the Differentiation of sin inverse x (sin^-1 x)? - Teachoo
A detailed, scientific illustration of a molecule,...
Image
Image
A close-up of a hand holding a small, antique slid...
How To Differentiate Inverse Sine - YouTube
How To Differentiate Inverse Sine - YouTube
A vibrant, colorful explosion of shapes and lines,...
Prove Derivative of Inverse Sine - YouTube
Prove Derivative of Inverse Sine - YouTube
A serene, natural landscape with a calm lake at da...
Proof for derivative of sine inverse trigonometry function of ...
Proof for derivative of sine inverse trigonometry function of ...
A group of diverse, young people, all wearing crea...
Calculus 3.11h - Derivative of Inverse Sine - YouTube
Calculus 3.11h - Derivative of Inverse Sine - YouTube
A detailed look at differentiate sin inverse ....
Differentiation Formula Tested in H2 A Level Math - Emily Learning
Differentiation Formula Tested in H2 A Level Math - Emily Learning
A detailed look at differentiate sin inverse ....
Derivative of sin inverse x || Differentiate sin^-1(x) - YouTube
Derivative of sin inverse x || Differentiate sin^-1(x) - YouTube
A detailed look at differentiate sin inverse ....
Derivative of the Inverse Sine Function Proof - YouTube
Derivative of the Inverse Sine Function Proof - YouTube
A detailed look at differentiate sin inverse ....
Inverse Sine (Arcsine Function, Definition & Examples)
Inverse Sine (Arcsine Function, Definition & Examples)
A detailed look at differentiate sin inverse ....
GraphicMaths - Differentiation - derivative of an inverse function
GraphicMaths - Differentiation - derivative of an inverse function
A detailed look at differentiate sin inverse ....
Derivatives of Trigonometric Functions with Table and Examples
Derivatives of Trigonometric Functions with Table and Examples
A detailed look at differentiate sin inverse ....
Derivative of inverse sine
Derivative of inverse sine
A detailed look at differentiate sin inverse ....
Proof for derivative of sine inverse trig function - YouTube
Proof for derivative of sine inverse trig function - YouTube
A detailed look at differentiate sin inverse ....
Derivative Of Cot Inverse Root 1 Sinx at Bill Schoenfeld blog
Derivative Of Cot Inverse Root 1 Sinx at Bill Schoenfeld blog
A detailed look at differentiate sin inverse ....
Differentiate and sketch function cos inverse sine x - YouTube
Differentiate and sketch function cos inverse sine x - YouTube
A detailed look at differentiate sin inverse ....
Derivative Of Cos Inverse Root X at Matthew Tindal blog
Derivative Of Cos Inverse Root X at Matthew Tindal blog
A detailed look at differentiate sin inverse ....
How to find derivative of arcsine x (sine inverse x) by first ...
How to find derivative of arcsine x (sine inverse x) by first ...
A detailed look at differentiate sin inverse ....
Derivative of Sin Inverse x - Formula, Proof, Examples
Derivative of Sin Inverse x - Formula, Proof, Examples
A detailed look at differentiate sin inverse ....
Image
Image
A detailed look at differentiate sin inverse ....
Derivative of Sin Inverse x with Formula, Proof & Solved Examples
Derivative of Sin Inverse x with Formula, Proof & Solved Examples
A detailed look at differentiate sin inverse ....
PPT - DERIVATIVES OF INVERSE TRIG FUNCTIONS PowerPoint Presentation ...
PPT - DERIVATIVES OF INVERSE TRIG FUNCTIONS PowerPoint Presentation ...
A detailed look at differentiate sin inverse ....
Image
Image
A detailed look at differentiate sin inverse ....
Derivatives - Calculus, Meaning, Interpretation
Derivatives - Calculus, Meaning, Interpretation
A detailed look at differentiate sin inverse ....