CEFDINIR AND MILK

FILE_ID: CEFDINIR

The combination of cefdinir and milk has been a topic of interest in the medical and nutritional fields. Cefdinir is an antibiotic used to treat various bacterial infections, while milk is a nutrient-rich food, often consumed for its protein, calcium, and vitamins. When these two substances are discussed together, it raises questions about their interaction and potential effects on health.

One key benefit of understanding this relationship is the potential impact on medication absorption. Antibiotics like cefdinir are typically taken with food to enhance absorption and reduce the risk of stomach upset. Milk, being a common food item, can play a role in this process. It is known to have a neutralizing effect on certain medications, which could affect the absorption of cefdinir.

Additionally, milk's nutritional content may also be relevant. Some studies suggest that certain nutrients in milk can influence the body's response to antibiotics, potentially altering their effectiveness. However, further research is needed to fully understand the complex interactions between cefdinir, milk, and the human body.

Visual Evidence (45)
Cefdinir: Uses, Side Effects, Dosage and Reviews - Drugs Details
Cefdinir: Uses, Side Effects, Dosage and Reviews - Drugs Details
A close-up of a white pill labeled 'CEFDINIR' on a...
Omnicef (Cefdinir) Oral Suspension - Silk Pharmacy
Omnicef (Cefdinir) Oral Suspension - Silk Pharmacy
A hand holding a capsule of cefdinir, a bright blu...
DailyMed - CEFDINIR powder, for suspension
DailyMed - CEFDINIR powder, for suspension
A medical chart with a patient's record showing 'C...
Cefrine Cefdinir 125mg/5ml Oral Suspension, Packaging Size: 30 ml at ...
Cefrine Cefdinir 125mg/5ml Oral Suspension, Packaging Size: 30 ml at ...
A vibrant, colorful illustration of cefdinir capsu...
Cefdinir pill bottle, conceptual image - Stock Image - F036/8034 ...
Cefdinir pill bottle, conceptual image - Stock Image - F036/8034 ...
A doctor's office with a patient sitting in a chai...
CEFDINIR CAPSULES, USP 300 mg Rx only To reduce the development of drug ...
CEFDINIR CAPSULES, USP 300 mg Rx only To reduce the development of drug ...
A macro photograph of cefdinir tablets, their blue...
Cefdinir for UTI: Uses, Dosage, Side Effects, and Resistance
Cefdinir for UTI: Uses, Dosage, Side Effects, and Resistance
A hospital room with a patient's bed, a glass of m...
Omnicef (Cefdinir) Oral Suspension - Silk Pharmacy
Omnicef (Cefdinir) Oral Suspension - Silk Pharmacy
A hand gently placing a cefdinir capsule into a gl...
#Cefdinir | Uses, Dosage, Side Effects & Mechanism | Omnicef - YouTube
#Cefdinir | Uses, Dosage, Side Effects & Mechanism | Omnicef - YouTube
A group of cefdinir capsules arranged in a circle ...
Omnicef (Cefdinir) Oral Suspension - Silk Pharmacy
Omnicef (Cefdinir) Oral Suspension - Silk Pharmacy
A close-up of a cefdinir tablet, its blue surface ...
What is Cefdinir - Drug Information, Side Effects and Uses - Caresupp.in
What is Cefdinir - Drug Information, Side Effects and Uses - Caresupp.in
A patient's hand holding a cefdinir capsule, about...
13 Foods to Avoid while Taking Cefdinir
13 Foods to Avoid while Taking Cefdinir
A medical illustration of cefdinir tablets dissolv...
Cefdinir Tablet - Cefdinir Dispersible Tablet Latest Price ...
Cefdinir Tablet - Cefdinir Dispersible Tablet Latest Price ...
A doctor's consultation room with a patient and a ...
Cefrine Cefdinir Capsules, 300 mg at ₹ 500/box in Amravati | ID ...
Cefrine Cefdinir Capsules, 300 mg at ₹ 500/box in Amravati | ID ...
A vibrant, abstract painting of cefdinir capsules ...
Cefdinir Nursing Considerations, Side Effects and Mechanism of Action ...
Cefdinir Nursing Considerations, Side Effects and Mechanism of Action ...
A patient's hand carefully pouring cefdinir capsul...
Vial of cefdinir - Stock Image - F036/9808 - Science Photo Library
Vial of cefdinir - Stock Image - F036/9808 - Science Photo Library
A close-up of a cefdinir capsule, its blue surface...
Omnicef R Cefdinir 250 mg Suspension 60 ml - Starting with O - medsmex
Omnicef R Cefdinir 250 mg Suspension 60 ml - Starting with O - medsmex
A medical chart with a cefdinir prescription, disp...
CEFDINIR - antibiotic - - Generic Name , Brand Names, How to use ...
CEFDINIR - antibiotic - - Generic Name , Brand Names, How to use ...
A doctor's office with a patient holding a cefdini...
CEFDINIR| Mechanism| Pharmacokinetics| Uses| Side Effects| Precaution ...
CEFDINIR| Mechanism| Pharmacokinetics| Uses| Side Effects| Precaution ...
A patient's hand gently swirling a cefdinir capsul...
Cefdinir 300mg Tablet at Rs 3180/box of 100 pieces | ANTIBIOTICS AND ...
Cefdinir 300mg Tablet at Rs 3180/box of 100 pieces | ANTIBIOTICS AND ...
A medical illustration of cefdinir tablets in a gl...
Cefdinir flat skeletal molecular structure 3rd generation Cephalosporin ...
Cefdinir flat skeletal molecular structure 3rd generation Cephalosporin ...
A patient's hand holding a cefdinir capsule, with ...
Cefdinir Dose Calculator | Omnicef Dosage
Cefdinir Dose Calculator | Omnicef Dosage
A doctor's consultation, with a patient and a glas...
FDA Label for Cefdinir Capsule Oral - Indications, Usage & Precautions
FDA Label for Cefdinir Capsule Oral - Indications, Usage & Precautions
A close-up of a cefdinir capsule, its blue surface...
Cefdinir at best price in Vapi by Chemical Bull Pvt. Ltd. | ID: 25769623112
Cefdinir at best price in Vapi by Chemical Bull Pvt. Ltd. | ID: 25769623112
A patient's hand carefully placing a cefdinir caps...
DailyMed - CEFDINIR capsule
DailyMed - CEFDINIR capsule
A medical chart with a cefdinir prescription, disp...
Cefdinir dosing, indications, interactions, adverse effects, and more
Cefdinir dosing, indications, interactions, adverse effects, and more
A doctor's office with a patient holding a cefdini...
Cefdinir capsules - SS Medex
Cefdinir capsules - SS Medex
A patient's hand holding a cefdinir capsule, with ...
Cephalosporins: Cefaclor, Cefadroxil, Cefazolin, Cefdinir, and Other ...
Cephalosporins: Cefaclor, Cefadroxil, Cefazolin, Cefdinir, and Other ...
A doctor's consultation, with a patient and a glas...
Cefdinir: Uses, Side Effects, Dosage and Reviews - Drug Details
Cefdinir: Uses, Side Effects, Dosage and Reviews - Drug Details
A close-up of a cefdinir tablet, its blue surface ...
Cefdinir for Oral Suspension USP 250mg/5ml
Cefdinir for Oral Suspension USP 250mg/5ml
A detailed look at cefdinir and milk ....
Cefdinir class of antibiotic
Cefdinir class of antibiotic
A detailed look at cefdinir and milk ....
Cefdinir Dispersible Tablets 125mg
Cefdinir Dispersible Tablets 125mg
A detailed look at cefdinir and milk ....
Cefdinir Capsules USP 300mg
Cefdinir Capsules USP 300mg
A detailed look at cefdinir and milk ....
Omnicef (Cefdinir) 300mg Uses, Side effects, Dosage
Omnicef (Cefdinir) 300mg Uses, Side effects, Dosage
A detailed look at cefdinir and milk ....
What is Cefdinir? - GoodRx
What is Cefdinir? - GoodRx
A detailed look at cefdinir and milk ....
Cefdinir - Broad-Spectrum Antibiotic for Infection Control | APExBIO
Cefdinir - Broad-Spectrum Antibiotic for Infection Control | APExBIO
A detailed look at cefdinir and milk ....
DailyMed - CEFDINIR capsule
DailyMed - CEFDINIR capsule
A detailed look at cefdinir and milk ....
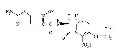
Chemical Structure Of Cefdinir (14) | Download Scientific Diagram
Chemical Structure Of Cefdinir (14) | Download Scientific Diagram
A detailed look at cefdinir and milk ....
Cefdinir: Package Insert - Drugs.com
Cefdinir: Package Insert - Drugs.com
A detailed look at cefdinir and milk ....
Cefdinir: Uses, Side Effects, Dosage and Reviews - Drugs Details
Cefdinir: Uses, Side Effects, Dosage and Reviews - Drugs Details
A detailed look at cefdinir and milk ....
What to know about cefdinir for UTIs | Optum Perks
What to know about cefdinir for UTIs | Optum Perks
A detailed look at cefdinir and milk ....
Correspondence: Cefdinir and Red Stool - PMC
Correspondence: Cefdinir and Red Stool - PMC
A detailed look at cefdinir and milk ....
CEFDINIR CAPSULES, USP 300 mg Rx only To reduce the development of drug ...
CEFDINIR CAPSULES, USP 300 mg Rx only To reduce the development of drug ...
A detailed look at cefdinir and milk ....
300 Mg Zefnir Cefdinir Capsule at ₹ 150/box | Cefdinir Tablet in Nagpur ...
300 Mg Zefnir Cefdinir Capsule at ₹ 150/box | Cefdinir Tablet in Nagpur ...
A detailed look at cefdinir and milk ....
300mg Pronir Cefdinir Capsule at best price in Nagpur by Welkin ...
300mg Pronir Cefdinir Capsule at best price in Nagpur by Welkin ...
A detailed look at cefdinir and milk ....