ABSOLUTE NEUTROPHILS HIGH PREGNANCY

FILE_ID: ABSOLUTE

Pregnancy is a complex physiological state that can affect various aspects of a woman's health, including her blood composition. One specific area of interest is the level of absolute neutrophils in the blood during pregnancy. This parameter is an essential indicator of the body's immune response and can provide valuable insights into a woman's overall health during this critical period.

Neutrophils are a type of white blood cell that plays a crucial role in the immune system's defense against bacteria and infections. During pregnancy, the body undergoes numerous changes to support the developing fetus, which can impact various physiological processes, including the immune response. An elevated level of absolute neutrophils may indicate an increased risk of certain complications or a response to specific stimuli.

Understanding the significance of high absolute neutrophil counts in pregnancy is essential for healthcare professionals to provide appropriate care and monitoring. This knowledge can contribute to better management of potential health risks and ensure the well-being of both the mother and the baby.

Visual Evidence (45)
Neutrophils in Pregnancy, Term and Preterm Labour | Encyclopedia MDPI
Neutrophils in Pregnancy, Term and Preterm Labour | Encyclopedia MDPI
A pregnant woman's hand holds a stethoscope, liste...
Understanding High Absolute Neutrophils During Pregnancy: Is It Normal ...
Understanding High Absolute Neutrophils During Pregnancy: Is It Normal ...
A close-up of a pregnant woman's belly, showcasing...
Neutrophils in pregnancy: New insights into innate and adaptive immune ...
Neutrophils in pregnancy: New insights into innate and adaptive immune ...
A pregnant woman stands in a lush green park, her ...
Understanding And Managing Pulling Pain In Early Pregnancy | ShunChild
Understanding And Managing Pulling Pain In Early Pregnancy | ShunChild
A pregnant woman's hand gently touches her growing...
Absolute Neutrophils High During Pregnancy: Causes and Remedies
Absolute Neutrophils High During Pregnancy: Causes and Remedies
A pregnant woman sits on a hospital bed, her hand ...
Neutrophils High in Pregnancy: Causes and When to Worry
Neutrophils High in Pregnancy: Causes and When to Worry
A pregnant woman's hand holds a sonogram image, sh...
Neutrophils, neutrophils function, causes of low or high absolute ...
Neutrophils, neutrophils function, causes of low or high absolute ...
A pregnant woman's hand holds a pregnancy test, th...
Why Are Neutrophils High During Pregnancy? An Overview
Why Are Neutrophils High During Pregnancy? An Overview
A pregnant woman's hand holds a glass of water, wi...
Neutrophils: What Highs and Lows Mean in Pregnancy - SARAH THOMPSON ...
Neutrophils: What Highs and Lows Mean in Pregnancy - SARAH THOMPSON ...
A pregnant woman's hand holds a book about pregnan...
High WBC and high neutrophils??? | BabyCenter
High WBC and high neutrophils??? | BabyCenter
A pregnant woman's hand holds a pregnancy journal,...
Unraveling the Mystery: What Causes High Neutrophils During Pregnancy?
Unraveling the Mystery: What Causes High Neutrophils During Pregnancy?
A pregnant woman's hand holds a pregnancy test, th...
Image
Image
A pregnant woman's hand holds a glass of fresh fru...
Understanding The Significance Of High Neutrophil Levels In Pregnancy ...
Understanding The Significance Of High Neutrophil Levels In Pregnancy ...
A pregnant woman's hand holds a pregnancy test, th...
Mean neutrophils to lymphocytes ratio (NLR) values by trimester and ...
Mean neutrophils to lymphocytes ratio (NLR) values by trimester and ...
A pregnant woman's hand holds a glass of water, wi...
The role of neutrophil activation in determining the outcome of ...
The role of neutrophil activation in determining the outcome of ...
A pregnant woman's hand holds a pregnancy journal,...
Are your patient's neutrophils high? Or are they pregnant? Our free ...
Are your patient's neutrophils high? Or are they pregnant? Our free ...
A pregnant woman's hand holds a book about pregnan...
Is High WBC (White Blood Cells) Count in Pregnancy Harmful?
Is High WBC (White Blood Cells) Count in Pregnancy Harmful?
A pregnant woman's hand holds a glass of fresh fru...
Absolute Neutrophils High During Pregnancy: Causes and Remedies
Absolute Neutrophils High During Pregnancy: Causes and Remedies
A pregnant woman's hand holds a pregnancy test, th...
Understanding High Absolute Neutrophils During Pregnancy: Is It Normal ...
Understanding High Absolute Neutrophils During Pregnancy: Is It Normal ...
A pregnant woman's hand holds a glass of water, wi...
Lab Test Absolute Neutrophils at Michael Dittmer blog
Lab Test Absolute Neutrophils at Michael Dittmer blog
A pregnant woman's hand holds a pregnancy journal,...
Neutrophils Function and Abnormal Results
Neutrophils Function and Abnormal Results
A pregnant woman's hand holds a book about pregnan...
What to Know About Neutrophils: Definition, Absolute High & Low, Ranges
What to Know About Neutrophils: Definition, Absolute High & Low, Ranges
A pregnant woman's hand holds a glass of fresh fru...
Understanding High Absolute Neutrophils During Pregnancy: Is It Normal ...
Understanding High Absolute Neutrophils During Pregnancy: Is It Normal ...
A pregnant woman's hand holds a pregnancy test, th...
Lab Test Absolute Neutrophils at Michael Dittmer blog
Lab Test Absolute Neutrophils at Michael Dittmer blog
A pregnant woman's hand holds a glass of water, wi...
Manual Differential Neutrophils High at Kayla Omay blog
Manual Differential Neutrophils High at Kayla Omay blog
A pregnant woman's hand holds a pregnancy journal,...
Understanding High Absolute Neutrophils During Pregnancy: Is It Normal ...
Understanding High Absolute Neutrophils During Pregnancy: Is It Normal ...
A pregnant woman's hand holds a book about pregnan...
Absolute Neutrophils High Levels
Absolute Neutrophils High Levels
A pregnant woman's hand holds a glass of fresh fru...
Total White Blood Cells Level and Absolute Neutrophil Count before ...
Total White Blood Cells Level and Absolute Neutrophil Count before ...
A pregnant woman's hand holds a pregnancy test, th...
Blood Tests Neutrophils Meaning at Gabriel Basser blog
Blood Tests Neutrophils Meaning at Gabriel Basser blog
A pregnant woman's hand holds a glass of water, wi...
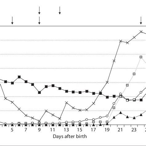
Blood counts during the neonatal period. WBC (S), absolute neutrophil ...
Blood counts during the neonatal period. WBC (S), absolute neutrophil ...
A pregnant woman's hand holds a pregnancy journal,...
Cbp (3)complete blood picture
Cbp (3)complete blood picture
A pregnant woman's hand holds a book about pregnan...
Best Absolute Neutrophil Count Calculator - ANC | Drlogy
Best Absolute Neutrophil Count Calculator - ANC | Drlogy
A pregnant woman's hand holds a glass of fresh fru...
Manual Differential Neutrophils High at Kayla Omay blog
Manual Differential Neutrophils High at Kayla Omay blog
A detailed look at absolute neutrophils high pregn...
Absolute Neutrophil Count (ANC) Test: Price and Normal Range | Drlogy
Absolute Neutrophil Count (ANC) Test: Price and Normal Range | Drlogy
A detailed look at absolute neutrophils high pregn...
Absolute Neutrophils High In Pregnancy | You Getting Pregnant
Absolute Neutrophils High In Pregnancy | You Getting Pregnant
A detailed look at absolute neutrophils high pregn...
Abs Neutrophils High Symptoms at Robert Hatch blog
Abs Neutrophils High Symptoms at Robert Hatch blog
A detailed look at absolute neutrophils high pregn...
Absolute Neutrophil Count (ANC) and Neutropenia - Together by St. Jude™
Absolute Neutrophil Count (ANC) and Neutropenia - Together by St. Jude™
A detailed look at absolute neutrophils high pregn...
Absolute Neutrophil Count Calculator
Absolute Neutrophil Count Calculator
A detailed look at absolute neutrophils high pregn...
Cbc
Cbc
A detailed look at absolute neutrophils high pregn...
Absolute Neutrophils High During Pregnancy: Causes and Remedies
Absolute Neutrophils High During Pregnancy: Causes and Remedies
A detailed look at absolute neutrophils high pregn...
Immunology Notes - Microbe Notes
Immunology Notes - Microbe Notes
A detailed look at absolute neutrophils high pregn...
ANC Calculator - Absolute Neutrophil Count
ANC Calculator - Absolute Neutrophil Count
A detailed look at absolute neutrophils high pregn...
Absolute Neutrophils High In Pregnancy | You Getting Pregnant
Absolute Neutrophils High In Pregnancy | You Getting Pregnant
A detailed look at absolute neutrophils high pregn...
Blood counts during the neonatal period. WBC (S), absolute neutrophil ...
Blood counts during the neonatal period. WBC (S), absolute neutrophil ...
A detailed look at absolute neutrophils high pregn...
Abs Neutrophils Segmented at Mark Ferretti blog
Abs Neutrophils Segmented at Mark Ferretti blog
A detailed look at absolute neutrophils high pregn...