90 SQUARE ROOT

FILE_ID: 90-SQUAR

The expression 90 square root is a mathematical notation that represents the square root of 90. It is a fundamental concept in mathematics, particularly in geometry and trigonometry, where it is used to find the length of a side of a right triangle or the measure of an angle. Understanding this concept is crucial for solving various mathematical problems and applications.

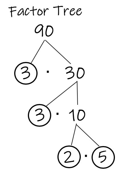
The square root of a number is a value that, when multiplied by itself, gives the original number. In this case, the square root of 90 is approximately 9.48683. This value can be expressed as a decimal or, more commonly, in its simplest radical form, which is √90.

One of the key benefits of understanding the 90 square root is its application in geometry and trigonometry. It allows for the calculation of side lengths and angle measures in right triangles, which is essential in fields such as architecture, engineering, and physics. By utilizing this mathematical concept, professionals can make precise calculations and predictions, ensuring accuracy and efficiency in their work.

Visual Evidence (45)
Square Root of 90 - How to Find the Square Root of 90? - Cuemath
Square Root of 90 - How to Find the Square Root of 90? - Cuemath
A vibrant, abstract painting of a spiral staircase...
Image
Image
A close-up of a hand holding a compass, its needle...
Square & Square Root of 90 - Methods, Calculation, Formula, How to find
Square & Square Root of 90 - Methods, Calculation, Formula, How to find
A minimalist black and white photograph of a city ...
Simplify Square Root of 90 | Root 90 | Simplified Radical Form - YouTube
Simplify Square Root of 90 | Root 90 | Simplified Radical Form - YouTube
A digital art piece featuring a futuristic citysca...
SQUARE ROOT OF 90 - YouTube
SQUARE ROOT OF 90 - YouTube
A still life arrangement of geometric shapes in pr...
How to simplify square root of 90 | Root 90 - YouTube
How to simplify square root of 90 | Root 90 - YouTube
A black and white photograph of a vintage typewrit...
Square & Square Root of 90 - Methods, Calculation, Formula, How to find
Square & Square Root of 90 - Methods, Calculation, Formula, How to find
A 3D rendering of a modern office space, with slee...
Free Printable Square Root Chart
Free Printable Square Root Chart
A hand-drawn illustration of a tree with branches ...
Free, Printable Square Root Chart and Sq. Root Cheat Sheet ...
Free, Printable Square Root Chart and Sq. Root Cheat Sheet ...
A photograph of a vintage calculator, its keys arr...
Square Root Chart
Square Root Chart
A digital art piece featuring a futuristic citysca...
How to Simplify the Square Root of 90: sqrt(90) - YouTube
How to Simplify the Square Root of 90: sqrt(90) - YouTube
A minimalist black and white photograph of a city ...
Square root of 90 simplified - YouTube
Square root of 90 simplified - YouTube
A still life arrangement of geometric shapes in pr...
How to Find the Square Root of a Number - Maths with Mum
How to Find the Square Root of a Number - Maths with Mum
A black and white photograph of a vintage typewrit...
Square Root of -90 | How to Find the Value of √-90 🧮
Square Root of -90 | How to Find the Value of √-90 🧮
A 3D rendering of a modern office space, with slee...
Image
Image
A hand-drawn illustration of a tree with branches ...
Simplifying Square Roots
Simplifying Square Roots
A photograph of a vintage calculator, its keys arr...
Square Root Chart Perfect Squares
Square Root Chart Perfect Squares
A digital art piece featuring a futuristic citysca...
Square Root Table - Table, Values, Properties, FAQs
Square Root Table - Table, Values, Properties, FAQs
A minimalist black and white photograph of a city ...
Square Roots - Square Root Worksheet and Calculator
Square Roots - Square Root Worksheet and Calculator
A still life arrangement of geometric shapes in pr...
Square and Square Roots? Definition, Formula, Examples
Square and Square Roots? Definition, Formula, Examples
A black and white photograph of a vintage typewrit...
Example 5 - Is 90 a perfect square? - Chapter 6 Class 8 - Examples
Example 5 - Is 90 a perfect square? - Chapter 6 Class 8 - Examples
A 3D rendering of a modern office space, with slee...
Image
Image
A hand-drawn illustration of a tree with branches ...
Square Roots Chart 1 20
Square Roots Chart 1 20
A photograph of a vintage calculator, its keys arr...
Square Root 1 to 30 | List of Square Root 1 to 30 Values
Square Root 1 to 30 | List of Square Root 1 to 30 Values
A digital art piece featuring a futuristic citysca...
Square Root 1 to 100 - Easy Maths Solutions
Square Root 1 to 100 - Easy Maths Solutions
A minimalist black and white photograph of a city ...
Square Root of 90 by Approximation & Long Division Method
Square Root of 90 by Approximation & Long Division Method
A still life arrangement of geometric shapes in pr...
Square Root 1 to 100 | Value of Square Roots from 1 to 100 [PDF]
Square Root 1 to 100 | Value of Square Roots from 1 to 100 [PDF]
A black and white photograph of a vintage typewrit...
Image
Image
A 3D rendering of a modern office space, with slee...
Section 2.7 square roots (algebra)
Section 2.7 square roots (algebra)
A hand-drawn illustration of a tree with branches ...
Square Roots Chart 1 20
Square Roots Chart 1 20
A detailed look at 90 square root ....
Square root - Definition with Examples - Teachoo - Square root
Square root - Definition with Examples - Teachoo - Square root
A detailed look at 90 square root ....
Image
Image
A detailed look at 90 square root ....
Square Root 1 to 30 [Download PDF]
Square Root 1 to 30 [Download PDF]
A detailed look at 90 square root ....
Square Root 1 to 100 (Complete List and Examples)
Square Root 1 to 100 (Complete List and Examples)
A detailed look at 90 square root ....
1 to 30 Square Root | List of Square Root 1 to 30 - Easy Maths Solutions
1 to 30 Square Root | List of Square Root 1 to 30 - Easy Maths Solutions
A detailed look at 90 square root ....
Estimate the Square Root
Estimate the Square Root
A detailed look at 90 square root ....
Find the Square Root of 8100
Find the Square Root of 8100
A detailed look at 90 square root ....
Square Root Chart Perfect Squares
Square Root Chart Perfect Squares
A detailed look at 90 square root ....
Simplify Squares Roots (solutions, examples, videos)
Simplify Squares Roots (solutions, examples, videos)
A detailed look at 90 square root ....
Value of Square Roots From 1 to 20 - Easy Maths Solutions
Value of Square Roots From 1 to 20 - Easy Maths Solutions
A detailed look at 90 square root ....
Chart Of Perfect Square Roots
Chart Of Perfect Square Roots
A detailed look at 90 square root ....
Square Root of 1 to 10 (Complete List)
Square Root of 1 to 10 (Complete List)
A detailed look at 90 square root ....
Square Root 2 Value | How to Find the Square Root of 2? - GeeksforGeeks
Square Root 2 Value | How to Find the Square Root of 2? - GeeksforGeeks
A detailed look at 90 square root ....
Square Root Chart Printable
Square Root Chart Printable
A detailed look at 90 square root ....
Perfect Square Root Chart - Educational Chart Resources
Perfect Square Root Chart - Educational Chart Resources
A detailed look at 90 square root ....