18 GAUGE STEEL THICKNESS

FILE_ID: 18-GAUGE

When discussing metal thickness, the 18 gauge is a common measurement used in various industries. This gauge system, also known as the American Wire Gauge, provides a standardized way to describe the thickness of metal sheets, wires, and other materials. The gauge number is inversely proportional to the thickness of the material, meaning a lower gauge number indicates a thicker piece of metal.

In the context of steel, 18 gauge refers to a specific thickness that offers a balance between strength and workability. This thickness is often used in a wide range of applications, from construction and manufacturing to automotive and household items. Understanding the 18 gauge steel thickness is essential for selecting the right material for specific projects, ensuring durability and functionality.

One of the key benefits of using 18 gauge steel is its versatility. This thickness allows for easy fabrication and shaping while still providing a sturdy and reliable material. Whether it's for creating structural frameworks, crafting decorative pieces, or building machinery, 18 gauge steel thickness offers a practical solution with its unique blend of strength and workability.

Visual Evidence (45)
WENHUALI 2 Pcs 18 Gauge Steel Sheets Metal Cold Rolled Steel Plate, 12" X 9" Weldable Metal Sheet For DIY Craft Projects, Industrial, Professional
WENHUALI 2 Pcs 18 Gauge Steel Sheets Metal Cold Rolled Steel Plate, 12" X 9" Weldable Metal Sheet For DIY Craft Projects, Industrial, Professional
A close-up of a sheet of 18-gauge steel, its surfa...
18 Gauge (0.048") Carbon Steel Sheet A1008 Cold Roll
18 Gauge (0.048") Carbon Steel Sheet A1008 Cold Roll
Stacked metal sheets in a warehouse, each labeled ...
18 Gauge (0.048") Carbon Steel Sheet A1008 Cold Roll
18 Gauge (0.048") Carbon Steel Sheet A1008 Cold Roll
An 18-gauge steel sheet is bent into a graceful ar...
Yaocom 4 Pcs 18 Gauge Mild Sheet Metal Steel Cold Rolled 0.05 Inch (1.2Mm) Thick Weldable Carbon Steel Plate Square Panels For Auto Body Outside
Yaocom 4 Pcs 18 Gauge Mild Sheet Metal Steel Cold Rolled 0.05 Inch (1.2Mm) Thick Weldable Carbon Steel Plate Square Panels For Auto Body Outside
A hand tool set against a backdrop of 18-gauge ste...
WENHUALI 4 Pcs 18 Gauge Sheet Metal Steel 24" X 12" Cold Rolled Steel Plate Sheet Metal Weldable For DIY Projects, Industrial, Professional
WENHUALI 4 Pcs 18 Gauge Sheet Metal Steel 24" X 12" Cold Rolled Steel Plate Sheet Metal Weldable For DIY Projects, Industrial, Professional
A close-up of a 18-gauge steel sheet with a small,...
18 Gauge Square Steel Sheet, Cold Rolled Mild, Mill Finish, Weldable - Made In USA
18 Gauge Square Steel Sheet, Cold Rolled Mild, Mill Finish, Weldable - Made In USA
A series of 18-gauge steel sheets arranged in a gr...
2 Pcs 18 Gauge Sheet Metal Steel Cold Rolled Mild Weldable Carbon Steel Plate. Yaocom. Metallic. Custom & Handmade.
2 Pcs 18 Gauge Sheet Metal Steel Cold Rolled Mild Weldable Carbon Steel Plate. Yaocom. Metallic. Custom & Handmade.
A 18-gauge steel sheet is shown being welded, the ...
18 Gauge (0.0516") Galvanized Steel Sheet ASTM A653
18 Gauge (0.0516") Galvanized Steel Sheet ASTM A653
A 18-gauge steel sheet is polished to a high shine...
Hicarer 4 Pcs Mild Steel Sheet Cold Rolled 18 Gauge Metal Plate Weldable Metal Sheets For Professional Industrial DIY Use, Clean Surface Easy To Weld
Hicarer 4 Pcs Mild Steel Sheet Cold Rolled 18 Gauge Metal Plate Weldable Metal Sheets For Professional Industrial DIY Use, Clean Surface Easy To Weld
A stack of 18-gauge steel sheets with various size...
Hicarer 4 Pcs Mild Steel Sheet Cold Rolled 18 Gauge Metal Plate Weldable Metal Sheets For Professional Industrial DIY Use, Clean Surface Easy To Weld
Hicarer 4 Pcs Mild Steel Sheet Cold Rolled 18 Gauge Metal Plate Weldable Metal Sheets For Professional Industrial DIY Use, Clean Surface Easy To Weld
A 18-gauge steel sheet is bent into a complex shap...
Steel sheet metal gauge chart - MS/ carbon steel thicknesses
Steel sheet metal gauge chart - MS/ carbon steel thicknesses
A close-up of a 18-gauge steel sheet with a small,...
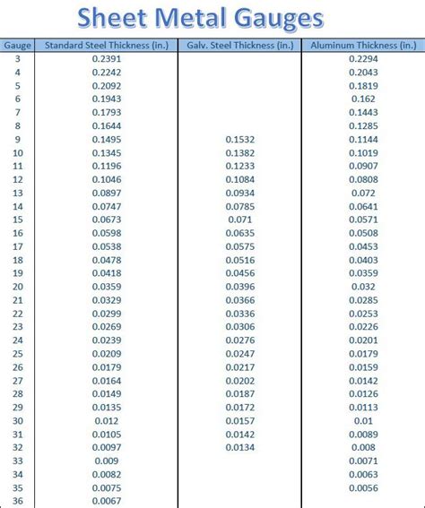
Gauge Steel Thickness | Sheet Metal Gauge Chart | IBC Group
Gauge Steel Thickness | Sheet Metal Gauge Chart | IBC Group
A 18-gauge steel sheet is used as a backdrop for a...
How Thick 18 Gauge Steel | The Tube
How Thick 18 Gauge Steel | The Tube
A 18-gauge steel sheet is laser-etched with a deta...
Sheet Metal Thickness Standards & Gauge Charts | Xometry Pro
Sheet Metal Thickness Standards & Gauge Charts | Xometry Pro
A series of 18-gauge steel sheets stacked in a mod...
Steel Gauge Thickness Chart _ Steel Gauge Chart - ATEEP
Steel Gauge Thickness Chart _ Steel Gauge Chart - ATEEP
A 18-gauge steel sheet is used as a protective bar...
Sheet Metal Gauge Chart - T/J Fabricators - Sheet Metal Gauges
Sheet Metal Gauge Chart - T/J Fabricators - Sheet Metal Gauges
A 18-gauge steel sheet is bent into a series of sm...
Image
Image
A close-up of a 18-gauge steel sheet with a small,...
Metal Thickness Gauge Conversion Chart
Metal Thickness Gauge Conversion Chart
A 18-gauge steel sheet is used as a decorative ele...
Gauge Steel Thickness | Sheet Metal Gauge Chart | IBC Group
Gauge Steel Thickness | Sheet Metal Gauge Chart | IBC Group
A 18-gauge steel sheet is welded to a larger metal...
Standard Sheet Metal Gauge Thickness Chart - Free Printable Download
Standard Sheet Metal Gauge Thickness Chart - Free Printable Download
A 18-gauge steel sheet is polished to a mirror fin...
Sheet Metal Gauge Thickness Chart Printable - Printable Free Templates
Sheet Metal Gauge Thickness Chart Printable - Printable Free Templates
A series of 18-gauge steel sheets arranged in a pa...
Stainless Steel Gauge Thickness Chart | 12ga 14ga 16ga 18ga
Stainless Steel Gauge Thickness Chart | 12ga 14ga 16ga 18ga
A 18-gauge steel sheet is used as a decorative ele...
Sheet Metal Gauge Thickness Conversion Chart
Sheet Metal Gauge Thickness Conversion Chart
A 18-gauge steel sheet is laser-cut with a detaile...
Sheet Metal Gauge Chart - Stainless Steel | 18 Gauge to MM
Sheet Metal Gauge Chart - Stainless Steel | 18 Gauge to MM
A 18-gauge steel sheet is used as a backdrop for a...
Sheet Metal Gauge Chart: Understanding the Thickness of Sheet Metal ...
Sheet Metal Gauge Chart: Understanding the Thickness of Sheet Metal ...
A 18-gauge steel sheet is bent into a series of sm...
Sheet Metal Gauge Chart | SWG Thickness in MM & Inches
Sheet Metal Gauge Chart | SWG Thickness in MM & Inches
A close-up of a 18-gauge steel sheet with a small,...
Gauge Sheet Metal Chart | Sheet Metal Thickness Chart
Gauge Sheet Metal Chart | Sheet Metal Thickness Chart
A 18-gauge steel sheet is used as a decorative ele...
Image
Image
A 18-gauge steel sheet is welded to a larger metal...
Gauge Chart For Steel Thickness at Nina Roberts blog
Gauge Chart For Steel Thickness at Nina Roberts blog
A detailed look at 18 gauge steel thickness ....
Steel Gauge Thickness Conversion Chart at Joann Meyer blog
Steel Gauge Thickness Conversion Chart at Joann Meyer blog
A detailed look at 18 gauge steel thickness ....
Metal Sheet Thickness Chart
Metal Sheet Thickness Chart
A detailed look at 18 gauge steel thickness ....
stainless steel sheet thickness chart
stainless steel sheet thickness chart
A detailed look at 18 gauge steel thickness ....
Sheet Metal Gauge Thickness Chart Inches
Sheet Metal Gauge Thickness Chart Inches
A detailed look at 18 gauge steel thickness ....
Sheet Metal Gauge Chart | A Complete Guide | Huaxiao Metal
Sheet Metal Gauge Chart | A Complete Guide | Huaxiao Metal
A detailed look at 18 gauge steel thickness ....
Sheet Metal Thickness Chart Sst
Sheet Metal Thickness Chart Sst
A detailed look at 18 gauge steel thickness ....
Sheet Metal Gauge Chart, SWG To MM And Inches Conversion
Sheet Metal Gauge Chart, SWG To MM And Inches Conversion
A detailed look at 18 gauge steel thickness ....
Standard Sheet Metal Gauge Thickness Chart
Standard Sheet Metal Gauge Thickness Chart
A detailed look at 18 gauge steel thickness ....
Sheet Metal Gauge Chart - T/J Fabricators - Sheet Metal Gauges
Sheet Metal Gauge Chart - T/J Fabricators - Sheet Metal Gauges
A detailed look at 18 gauge steel thickness ....
Image
Image
A detailed look at 18 gauge steel thickness ....
Metal Thickness Chart , Sheet Metal Gauge Size Chart - EHTN
Metal Thickness Chart , Sheet Metal Gauge Size Chart - EHTN
A detailed look at 18 gauge steel thickness ....
Stainless Steel Sheet Metal Gauge Size Chart
Stainless Steel Sheet Metal Gauge Size Chart
A detailed look at 18 gauge steel thickness ....
Handbook: The Complete Guide To Steel Gauge Chart
Handbook: The Complete Guide To Steel Gauge Chart
A detailed look at 18 gauge steel thickness ....
Understanding Sheet Metal Types, Gauges and Thicknesses
Understanding Sheet Metal Types, Gauges and Thicknesses
A detailed look at 18 gauge steel thickness ....
Sheet Metal Gauge Chart - Precision Guide for Thickness!
Sheet Metal Gauge Chart - Precision Guide for Thickness!
A detailed look at 18 gauge steel thickness ....
Stainless Steel Sheet Metal Gauge Chart
Stainless Steel Sheet Metal Gauge Chart
A detailed look at 18 gauge steel thickness ....