12GA STEEL THICKNESS

FILE_ID: 12GA-STE

The term 12ga steel thickness refers to the gauge thickness of steel, which is a measure of the thickness of a sheet or plate. It is a standard unit of measurement used in the steel industry to describe the dimensions of steel products. The gauge system is a numerical designation that indicates the thickness of a material, with lower numbers representing thicker materials and higher numbers indicating thinner ones. In the case of steel, the gauge number is inversely proportional to the thickness, meaning that a lower gauge number signifies a thicker piece of steel.

Understanding steel thickness is crucial in various applications, as it directly impacts the material's strength, durability, and suitability for specific uses. Thicker steel sheets offer enhanced structural integrity and are often employed in construction, manufacturing, and automotive industries. On the other hand, thinner steel can be more flexible and is commonly used in packaging, appliances, and decorative elements.

The gauge system provides a standardized way to communicate the thickness of steel, ensuring consistency and compatibility across different industries. This is particularly important when selecting steel for specific projects, as it allows for accurate comparisons and informed decisions regarding material choice.

In summary, 12ga steel thickness is a critical specification that defines the physical dimensions of steel sheets. It is an essential consideration for engineers, manufacturers, and consumers alike, as it influences the performance and applicability of steel in a wide range of products and structures.

Visual Evidence (45)
12 Gauge (0.105") Carbon Steel Sheet A606/A588A Weathering Steel
12 Gauge (0.105") Carbon Steel Sheet A606/A588A Weathering Steel
A close-up view of a 12-gauge steel sheet, its sur...
12 Gauge (0.105") Carbon Steel Sheet ASTM A1011 Hot Rolled
12 Gauge (0.105") Carbon Steel Sheet ASTM A1011 Hot Rolled
Stacked 12-gauge steel plates, each with a distinc...
12 Gauge (0.105") Carbon Steel Sheet A1008 Cold Roll
12 Gauge (0.105") Carbon Steel Sheet A1008 Cold Roll
A single 12-gauge steel pipe, its interior lined w...
12 Gauge Stainless Steel Thickness | The Tube
12 Gauge Stainless Steel Thickness | The Tube
12-gauge steel wire mesh, woven tightly, creating ...
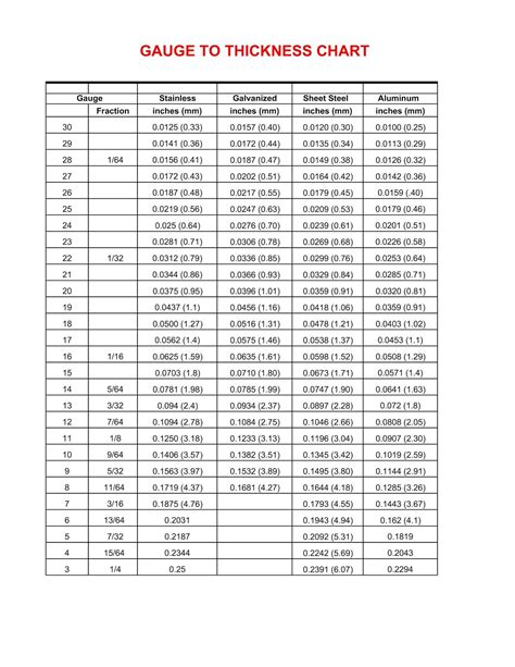
Stainless Steel Gauge Thickness Chart | 12ga 14ga 16ga 18ga
Stainless Steel Gauge Thickness Chart | 12ga 14ga 16ga 18ga
A 12-gauge steel plate, its surface etched with in...
Steel sheet metal gauge chart - MS/ carbon steel thicknesses
Steel sheet metal gauge chart - MS/ carbon steel thicknesses
12-gauge steel sheets, arranged in a mosaic-like p...
Steel Gauge Chart - MD Metals
Steel Gauge Chart - MD Metals
A 12-gauge steel beam, its cross-section visible, ...
How Thick Is 12 Gauge Steel? Guide to Uses & Comparisons
How Thick Is 12 Gauge Steel? Guide to Uses & Comparisons
12-gauge steel wire, coiled tightly, forming a com...
Sheet Metal Thickness Standards & Gauge Charts | Xometry Pro
Sheet Metal Thickness Standards & Gauge Charts | Xometry Pro
A 12-gauge steel plate, its surface treated with a...
Understanding Steel Gauge: A Guide to Thickness Standardization ...
Understanding Steel Gauge: A Guide to Thickness Standardization ...
12-gauge steel sheets, stacked in a pyramid-like f...
Image
Image
A 12-gauge steel pipe, its exterior coated with a ...
Metal Sheet Thickness Chart
Metal Sheet Thickness Chart
12-gauge steel wire mesh, stretched tightly over a...
What is Stainless Steel- The Ultimate Guide - KDM Fabrication
What is Stainless Steel- The Ultimate Guide - KDM Fabrication
A 12-gauge steel plate, its surface treated with a...
12 Gauge Sheet Metal Thickness In Mm
12 Gauge Sheet Metal Thickness In Mm
12-gauge steel sheets, arranged in a wave-like pat...
Steel Plate Thickness Chart - Infographic Chart Design
Steel Plate Thickness Chart - Infographic Chart Design
A 12-gauge steel beam, its surface treated with a ...
Image
Image
12-gauge steel wire, coiled and twisted, forming i...
Steel Gauge Thickness Chart _ Steel Gauge Chart - ATEEP
Steel Gauge Thickness Chart _ Steel Gauge Chart - ATEEP
A 12-gauge steel plate, its surface etched with a ...
Stainless Steel Gauge Thickness Chart | 12ga 14ga 16ga 18ga
Stainless Steel Gauge Thickness Chart | 12ga 14ga 16ga 18ga
12-gauge steel sheets, stacked in a spiral, creati...
Gauge Steel Thickness | Sheet Metal Gauge Chart | IBC Group
Gauge Steel Thickness | Sheet Metal Gauge Chart | IBC Group
A 12-gauge steel pipe, its interior lined with a s...
Stainless Sheet Metal Gauge Chart
Stainless Sheet Metal Gauge Chart
12-gauge steel wire mesh, stretched over a curved ...
Gauge Steel Thickness | Sheet Metal Gauge Chart | IBC Group
Gauge Steel Thickness | Sheet Metal Gauge Chart | IBC Group
A 12-gauge steel plate, its surface treated with a...
Steel Gauge Thickness Chart The Why And How Ryerson
Steel Gauge Thickness Chart The Why And How Ryerson
12-gauge steel sheets, arranged in a circular patt...
Gauging the Importance of Steel Thickness - Learn More!
Gauging the Importance of Steel Thickness - Learn More!
A 12-gauge steel beam, its surface treated with a ...
Printable Sheet Metal Gauge Chart
Printable Sheet Metal Gauge Chart
12-gauge steel wire, coiled and twisted, forming a...
Printable Sheet Metal Gauge Chart - Printable Free Templates
Printable Sheet Metal Gauge Chart - Printable Free Templates
A 12-gauge steel plate, its surface etched with a ...
Standard Sheet Metal Gauge Thickness Chart
Standard Sheet Metal Gauge Thickness Chart
12-gauge steel sheets, stacked in a wave-like form...
Gauge Vs Thickness Chart at James Seymour blog
Gauge Vs Thickness Chart at James Seymour blog
A 12-gauge steel pipe, its exterior coated with a ...
Sheet Metal Gauge Thickness Chart Inches
Sheet Metal Gauge Thickness Chart Inches
12-gauge steel wire mesh, stretched tightly over a...
Metal Gauge Thickness Chart Pdf
Metal Gauge Thickness Chart Pdf
A 12-gauge steel plate, its surface treated with a...
Understanding Steel Gauge: A Guide to Thickness Standardization ...
Understanding Steel Gauge: A Guide to Thickness Standardization ...
12-gauge steel sheets, arranged in a mosaic-like p...
Image
Image
A detailed look at 12ga steel thickness ....
Understanding Sheet Metal Types, Gauges and Thicknesses
Understanding Sheet Metal Types, Gauges and Thicknesses
A detailed look at 12ga steel thickness ....
Stainless Sheet Metal Gauge Chart
Stainless Sheet Metal Gauge Chart
A detailed look at 12ga steel thickness ....
Steel Wire Gauge Chart at Brodie Eldershaw blog
Steel Wire Gauge Chart at Brodie Eldershaw blog
A detailed look at 12ga steel thickness ....
Stainless Sheet Metal Gauge Chart
Stainless Sheet Metal Gauge Chart
A detailed look at 12ga steel thickness ....
Understanding Sheet Metal Types, Gauges and Thicknesses | All Metals ...
Understanding Sheet Metal Types, Gauges and Thicknesses | All Metals ...
A detailed look at 12ga steel thickness ....
steel sheet metal gauge chart
steel sheet metal gauge chart
A detailed look at 12ga steel thickness ....
Sheet Metal Gauge Chart, SWG To MM And Inches Conversion
Sheet Metal Gauge Chart, SWG To MM And Inches Conversion
A detailed look at 12ga steel thickness ....
How Thick Is 12 Gauge Steel? Guide to Uses & Comparisons
How Thick Is 12 Gauge Steel? Guide to Uses & Comparisons
A detailed look at 12ga steel thickness ....
How to Set Up Sheet Metal Gauge Tables - Engineers Rule
How to Set Up Sheet Metal Gauge Tables - Engineers Rule
A detailed look at 12ga steel thickness ....
2025 Best Sheet Metal Gauge Chart (ASTM & ISO Compared)
2025 Best Sheet Metal Gauge Chart (ASTM & ISO Compared)
A detailed look at 12ga steel thickness ....
Handbook: The Complete Guide To Steel Gauge Chart
Handbook: The Complete Guide To Steel Gauge Chart
A detailed look at 12ga steel thickness ....
Sheet Metal Gauge Chart: Understanding the Thickness of Sheet Metal ...
Sheet Metal Gauge Chart: Understanding the Thickness of Sheet Metal ...
A detailed look at 12ga steel thickness ....
What is a sheet metal gauge?
What is a sheet metal gauge?
A detailed look at 12ga steel thickness ....
Metal Thickness Chart , Sheet Metal Gauge Size Chart - EHTN
Metal Thickness Chart , Sheet Metal Gauge Size Chart - EHTN
A detailed look at 12ga steel thickness ....